450. 删除二叉搜索树中的节点 Medium
给定一个二叉搜索树的根节点 root 和一个值 key,删除二叉搜索树中的 key 对应的节点,并保证二叉搜索树的性质不变。返回二叉搜索树(有可能被更新)的根节点的引用。
一般来说,删除节点可分为两个步骤:
- 首先找到需要删除的节点;
- 如果找到了,删除它。
示例 1:
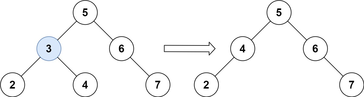
输入:root = [5,3,6,2,4,null,7], key = 3
输出:[5,4,6,2,null,null,7]
解释:给定需要删除的节点值是 3,所以我们首先找到 3 这个节点,然后删除它。
一个正确的答案是 [5,4,6,2,null,null,7], 如下图所示。
另一个正确答案是 [5,2,6,null,4,null,7]。

示例 2:
输入: root = [5,3,6,2,4,null,7], key = 0
输出: [5,3,6,2,4,null,7]
解释: 二叉树不包含值为 0 的节点

示例 3:
输入: root = [], key = 0
输出: []
解题思路
输入:二叉搜索树(BST)的根节点 root 和一个值 key
输出:删除 key 对应的节点并保证二叉树搜索树的性质,返回有可能被更新的根结点的引用
本题适合利用二叉搜索树(BST)的性质结合自底向上的 DFS解决。
- 查找节点
- 和普通 BST 的查找一样:
- 如果 key < root.val → 去左子树找
- 如果 key > root.val → 去右子树找
- 如果 key == root.val → 找到了,进入删除逻辑
- 删除节点
删除逻辑要分情况讨论:
目标节点没有子节点(叶子节点)
直接返回 None,把它删除即可。
只有一个子节点(左或右)
返回那个非空的子节点,用它“顶替”当前节点。
有两个子节点(最复杂情况)
找到中序后继(右子树的最小节点)或中序前驱(左子树的最大节点);
用它的值替换当前节点;
然后递归地在对应子树中删除那个后继/前驱节点。
这样既保证了 BST 的有序性,也完成了删除。
代码实现
python
class Solution:
def findmin(self, root):
# 寻找最小值节点,即左子树中的最左节点
while root.left:
root = root.left
return root
def deleteNode(self, root: TreeNode, key: int) -> TreeNode:
# 如果树为空,直接返回
if not root:
return root
# 如果key小于当前节点值,递归去左子树查找
elif key < root.val:
root.left = self.deleteNode(root.left, key)
# 如果key大于当前节点值,递归去右子树查找
elif key > root.val:
root.right = self.deleteNode(root.right, key)
# 找到要删除的节点
else:
# 如果节点是叶子节点,直接删除
if not root.left and not root.right:
root = None
# 如果只有右子树,没有左子树,用右子树替代
elif not root.left:
root = root.right
# 如果只有左子树,没有右子树,用左子树替代
elif not root.right:
root = root.left
# 如果有两个子节点
else:
# 找到右子树中的最小节点,用它替代当前节点
temp = self.findmin(root.right)
root.val = temp.val
# 递归删除右子树中的最小节点
root.right = self.deleteNode(root.right, temp.val)
return rootjavascript
var deleteNode = function(root, key) {
if (!root) return root;
if (key > root.val) {
root.right = deleteNode(root.right, key);
} else if (key < root.val) {
root.left = deleteNode(root.left, key);
} else {
if (!root.left) return root.right;
if (!root.right) return root.left;
const succ = _miniNode(root.right, key);
root.val = succ.val;
root.right = deleteNode(root.right, succ.val);
}
return root;
};
function _miniNode(node) {
while (node.left) {
node = node.left
}
return node;
}复杂度分析
时间复杂度:O(h)
空间复杂度:O(h)