143. 重排链表 Medium
给定一个单链表 L 的头节点 head ,单链表 L 表示为:
L0 → L1 → … → Ln - 1 → Ln
请将其重新排列后变为:
L0 → Ln → L1 → Ln - 1 → L2 → Ln - 2 → …
不能只是单纯的改变节点内部的值,而是需要实际的进行节点交换。
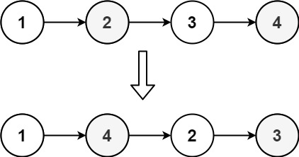
示例 1:
输入:head = [1,2,3,4]
输出:[1,4,2,3]

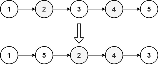
示例 2:
输入:head = [1,2,3,4,5]
输出:[1,5,2,4,3]

解题思路
输入: 一个链表 head
输出: 对链表重新排列,要求收尾交替排列 L0 → Ln → L1 → Ln - 1 → L2 → Ln - 2 → …
本题属于链表重排类问题。
这道题可以分三个步骤来解决
- 利用快慢指针找到链表的中点
- 从中点开始反转链表的后半部分
- 交错合并整个链表
- 前半段:
1 → 2 → 3 - 后半段反转:
6 → 5 → 4 - 交错合并:
1 → 6 → 2 → 5 → 3 → 4
- 前半段:
代码实现
python
def middleNode(head):
slow, fast = head, head
while fast and fast.next:
fast = fast.next.next
slow = slow.next
return slow
def reverseList(head):
pre, cur = None, head
while cur:
nxt = cur.next
cur.next = pre
pre = cur
cur = nxt
return pre
class Solution:
def reorderList(self, head: Optional[ListNode]) -> None:
# 先求出中间节点
mid = middleNode(head)
# 再将中间节点后半部分反转得到尾节点并且一路指向中间节点
# 1(head) -> 2 -> 3 <- 4 <- 5(head2)
head2 = reverseList(mid)
# 从 head2 开始循环直到找到 mid 节点,因为反转后 mid 节点指向 None
while head2.next:
# 1(head) -> 2 -> 3 -> 4 -> 5
# 5(head2) -> 4 -> 3(mid)
# 保存 head 下一个节点
nxt = head.next
# 保存 head2 下一个节点
nxt2 = head2.next
# 将 head 下一个节点指向 head2: 1 -> 5
head.next = head2
# 将 head2 下一个节点指向 head.next: 5 -> 2
head2.next = nxt
# 移动 head 到原本的下一个节点
head = nxt
# 移动 head2 到原本的下一个节点
head2 = nxt2
# 栈解法
curr = head
stack = []
# 备份一份链表
while curr:
stack.append(curr)
curr = curr.next
curr = head
while stack:
nxt = curr.next
# 不断从后往前取出节点
stackNxt = stack.pop()
# 相遇时有奇数偶数两种情况,此时需要退出
# 1 -> 2(nxt | stackNxt)
if nxt == stackNxt:
nxt.next = None
break
# 1 -> 2(curr | stackNxt) -> 3(nxt)
if curr == stackNxt:
curr.next = None
break
# 否则就将当前节点下一个节点指向末尾节点: 1 -> 5
curr.next = stackNxt
# 末尾节点下一个节点指向 nxt: 5 -> 2
stackNxt.next = nxt
# 移动当前节点
curr = nxt
return headjavascript
var reorderList = function(head) {
function middleNode(head) {
let slow = head;
let fast = head;
while (fast && fast.next) {
slow = slow.next;
fast = fast.next.next;
}
return slow;
}
function reverseList(head) {
let pre = null;
let curr = head;
while (curr) {
const nxt = curr.next;
curr.next = pre;
pre = curr;
curr = nxt;
}
return pre;
}
let mid = middleNode(head);
let head2 = reverseList(mid);
while (head2.next) {
const nxt = head.next;
const nxt2 = head2.next;
head.next = head2;
head2.next = nxt;
head = nxt;
head2 = nxt2;
}
};复杂度分析
时间复杂度:O(n)
空间复杂度:O(1)