83. 删除排序链表中的重复元素 Easy
给定一个已排序的链表的头 head, 删除所有重复的元素,使每个元素只出现一次 。返回 已排序的链表 。
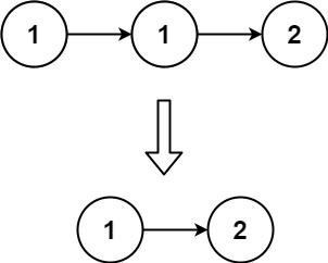
示例 1:
输入:head = [1,1,2] 输出:[1,2]

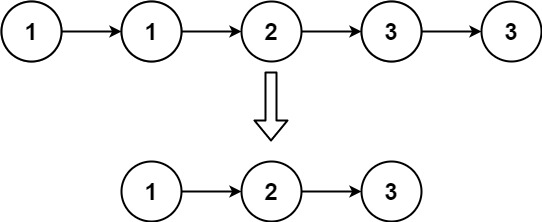
示例 2:
输入:head = [1,1,2,3,3] 输出:[1,2,3]

解题思路
输入: 一个链表 head
输出: 删除链表中的重复元素重复的元素只保留一个
本题属于链表删除类问题。
由于重复元素还会保留一个,所以我们可以直接从 head 开始遍历
判断下一个节点和当前节点值是否相同,相同则跳过下一个节点,否则就移动到下一个节点
代码实现
python
class Solution:
def deleteDuplicates(self, head: Optional[ListNode]) -> Optional[ListNode]:
curr = head # 当前遍历的节点
# 只要当前节点和下一个节点都存在,就继续遍历
while curr and curr.next:
if curr.val == curr.next.val:
# 如果当前值等于下一个值,跳过下一个节点(删除重复节点)
curr.next = curr.next.next
else:
# 如果值不相等,移动到下一个节点
curr = curr.next
return head # 返回原链表的头节点javascript
/**
* @param {ListNode} head
* @return {ListNode}
*/
var deleteDuplicates = function(head) {
let curr = head;
while (curr && curr.next) {
if (curr.val === curr.next.val) {
curr.next = curr.next.next;
} else {
curr = curr.next;
}
}
return head;
};复杂度分析
时间复杂度:O(n)
空间复杂度:O(1)